×¢ÉäÓÃάÉúËØC
¡¾³É¡¡¡¡·Ý¡¿±¾Æ·Ö÷Òª³É·ÝΪάÉúËØC¡£
¡¾¹¦Ð§Ö÷ÖΡ¿·ÀÖλµÑª²¡ºÍÖÖÖÖ¼±ÂýÐÔѬȾÐÔ¼²²¡¼°×Ïñ°µÈ¸¨ÖúÖÎÁÆ£¬´ó¼ÁÁ¿¾²Âö×¢ÉäÓÃÓÚ¿Ëɽ֢£¬ÐÄÔ´ÐÔÐÝ¿ËʱÇÀ¾È¡£±¾Æ·Òà¿ÉÓÃÓÚÂýÐÔÌúÖж¾¡¢ÌØ·¢ÐÔ¸ßÌúѪºìÂѰ×Ѫ֢µÄÖÎÁÆ¡£
¡¾¹æ¡¡¡¡¸ñ¡¿1.0g
¡¾Åú×¼Îĺš¿¹úÒ©×¼×ÖH20063783
²úƷ˵Ã÷

¡¾Ò©Æ·Ãû³Æ¡¿Í¨ÓÃÃû³Æ£º×¢ÉäÓÃάÉúËØC

        Ó¢ÎÄÃû³Æ£ºVitamin C for Injection

        ººÓïÆ´Òô£ºZhusheyong WeishengsuC

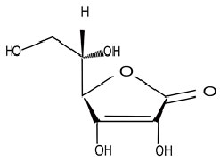
¡¾³É·Ý¡¿±¾Æ·Ö÷Òª³É·ÝΪάÉúËØC£¬»¯Ñ§Ãû³ÆÎªL-¿¹»µÑªËá¡£

Æä½á¹¹Ê½Îª£º

×¢ÉäÓÃάÉúËØC

     ·Ö×Óʽ£ºC6H8O6

     ·Ö×ÓÁ¿£º176.13

     ËùÓи¨ÁÏÃû³ÆÎª£º¸Ê¶´¼¡¢Ì¼ËáÇâÄÆ¡¢°ëë×°±Ëá¡¢ÑÇÁòËáÇâÄÆ¡¢ÒÒ¶þ°·ËÄÒÒËá¶þÄÆ¡£

¡¾ÐÔ×´¡¿±¾Æ·Îª°×É«»òÀà°×É«ËÉÉ¢¿é×´Îï»ò·ÛÄ©»ò½á¾§ÐÔ·ÛÄ© £»ÎÞ³ô£¬¾ÃÖÃÉ«½¥±ä΢»Æ¡£

¡¾Ë³Ó¦Ö¢¡¿ÊÊÓÃÓÚ£º·ÀÖλµÑª²¡ºÍÖÖÖÖ¼±ÂýÐÔѬȾÐÔ¼²²¡¼°×Ïñ°µÈ¸¨ÖúÖÎÁÆ£¬´ó¼ÁÁ¿¾²Âö×¢ÉäÓÃÓÚ¿Ëɽ֢£¬ÐÄÔ´ÐÔÐÝ¿ËʱÇÀ¾È¡£±¾Æ·Òà¿ÉÓÃÓÚÂýÐÔÌúÖж¾¡¢ÌØ·¢ÐÔ¸ßÌúѪºìÂѰ×Ѫ֢µÄÖÎÁÆ¡£ÏÂÁÐÇéÐζÔάÉúËØCµÄÐèÒªÁ¿ÔöÌí£º(1)²¡È˽ÓÊÜÂýÐÔѪҺ͸Îö¡¢³¦Î¸µÀ¼²²¡(ºã¾Ã¸¹Ðº¡¢Î¸»ò»Ø³¦ÇгýÊõºó)¡¢½áºË²¡¡¢°©Ö¢¡¢À£Ññ²¡¡¢¼××´ÏÙ¹¦Ð§¿º½ø¡¢·¢ÈÈ¡¢Ñ¬È¾¡¢´´ÉË¡¢ÉÕÉË¡¢ÊÖÊõµÈ¡£(2)ÒòÑÏ¿á¿ØÖÆ»òÑ¡ÔñÒûʳ£¬½ÓÊܳ¦µÀÍâÓªÑøµÄ²¡ÈË£¬ÒòÓªÑø²»Á¼£¬ÌåÖØÖè½µ£¬ÒÔ¼°ÔÚÈÑÉïÆÚºÍ²¸ÈéÆÚ¡£(3)Ó¦ÓðͱÈÍ×Àà¡¢ËÄ»·ËØÀࡢˮÑîËáÀà¡¢»òÒÔάÉúËØC×÷ΪÃÚÄòϵͳËữҩʱ¡£

¡¾¹æ¸ñ¡¿1.0g

¡¾Ó÷¨ÓÃÁ¿¡¿¼¡ÄÚ»ò¾²Âö×¢É䣬³ÉÈËÿ´Î100¡«250mg£¬ÖðÈÕ1¡«3´Î £»Ð¡¶ùÖðÈÕ100¡«300mg£¬·Ö´Î×¢Éä¡£¾ÈÖοËɽ²¡¿ÉÓôó¼ÁÁ¿£¬Ðè×ñÒ½Öö¡£

¡¾²»Á¼·´Ó¦¡¿1¡¢ºã¾ÃÓ¦ÓÃÖðÈÕ2¡«3g¿ÉÒýÆðÍ£Ò©ºó»µÑª²¡¡£2¡¢ºã¾ÃÓ¦Óôó×ÚάÉúËØCż¿ÉÒýÆðÄòËáÑΡ¢°ëë×°±ËáÑλò²ÝËáÑνáʯ¡£3¡¢¿ìËÙ¾²Âö×¢Éä¿ÉÒýÆðÍ·ÔΡ¢ÔÎØÊ¡£

¡¾½û¼É¡¿Éв»Ã÷È·¡£

¡¾×¢ÖØÊÂÏî¡¿1¡¢Î¬ÉúËØC¶ÔÏÂÁÐÇéÐεÄ×÷ÓÃδ±»Ö¤Êµ£ºÔ¤·À»òÖÎÁư©Ö¢¡¢ÑÀö¸Ñס¢»¯Å§¡¢³öѪ¡¢ÑªÄò¡¢ÊÓÍøÄ¤³öѪ¡¢ÒÖÓôÖ¢¡¢È£³Ý¡¢ÑªÐé¡¢ðî´¯¡¢²»ÓýÖ¢¡¢ÐàÂõ¡¢¶¯ÂöÓ²»¯¡¢À£Ññ²¡¡¢½áºË¡¢Á¡¼²¡¢½ºÔ­ÐÔ¼²²¡¡¢¹ÇÕÛ¡¢Æ¤·ôÀ£Ññ¡¢¿Ý²ÝÈÈ¡¢Ò©ÎïÖж¾¡¢Ñª¹Ü˨Èû¡¢ÉË·çµÈ¡£2¡¢¶ÔÕï¶ÏµÄ×ÌÈÅ¡£´ó×Ú·þÓý«Ó°ÏìÒÔÏÂÕï¶ÏÐÔÊÔÑéµÄЧ¹û£º(1)´ó±ãÒþѪ¿ÉÖ¼ÙÑôÐÔ¡£(2)ÄÜ×ÌÈÅѪÇåÈéËáÍÑÇâøºÍѪÇå°±»ù×ªÒÆÃ¸Å¨¶ÈµÄ×Ô¶¯ÆÊÎöЧ¹û¡£(3)ÄòÌÇ(ÁòËáÍ­·¨)¡¢ÆÏÌÑÌÇ(Ñõ»¯Ã¸·¨)¾ù¿ÉÖ¼ÙÑôÐÔ¡£(4)ÄòÖвÝËáÑΡ¢ÄòËáÑκͰëë×°±ËáµÈŨ¶ÈÔö¸ß¡£(5)ѪÇ嵨ºìËØÅ¨¶ÈϽµ¡£(6)ÄòpHϽµ¡£3¡¢ÏÂÁÐÇéÐÎÓ¦É÷Óãº(1)°ëë×°±ËáÄòÖ¢¡£(2)Í´·ç¡£(3)¸ß²ÝËáÑÎÄòÖ¢¡£(4)²ÝËáÑγÁ»ýÖ¢¡£(5)ÄòËáÑÎÐÔÉö½áʯ¡£(6)ÌÇÄò²¡(ÒòάÉúËØC¿ÉÄÜ×ÌÈÅѪÌǶ¨Á¿)¡£(7)ÆÏÌÑÌÇ-6-Á×ËáÍÑÇâøȱ·¦Ö¢¡£(8)Ѫɫ²¡¡£(9)ÌúÁ£Ó×ϸ°ûÐÔѪÐé»òµØÖк£ÑªÐé¡£(10)Á­Ðκìϸ°ûѪÐé¡£4¡¢ºã¾Ã´ó×Ú·þÓÃͻȻͣҩ£¬ÓпÉÄÜ·ºÆð»µÑª²¡Ö¢×´£¬¹ÊÒËÖð½¥¼õÁ¿Í£Ò©¡£

¡¾Ôи¾¼°²¸ÈéÆÚ¸¾Å®ÓÃÒ©¡¿±¾Æ·¿Éͨ¹ýÌ¥ÅÌ£¬ÉøÍ¸ÈëÈéÖ­¡£Ôи¾´ó¼ÁÁ¿·þÓÃʱ£¬»¹¿É±¬·¢Ó¤¶ù»µÑª²¡¡£

¡¾¶ùͯÓÃÒ©¡¿ÍƼöÉÅʳÖðÈÕÉãÈëÁ¿(RDA£¬1980)£º4¡«6ËêС¶ù45mg£¬7ËêÒÔÉϰ´³ÉÈ˼Æ60mg£¬Î´¾­Ö¤ÊµÓÐÓÃʱ£¬²»ÒËÓ¦ÓôóÓÚ10±¶ÉÏÊö¼ÁÁ¿¡£

¡¾ÍíÄêÓÃÒ©¡¿Éв»Ã÷È·¡£

¡¾Ò©ÎïÏ໥×÷Óá¿1¡¢´ó¼ÁÁ¿Î¬ÉúËØC¿É×ÌÈÅ¿¹ÄýÒ©µÄ¿¹ÄýЧ¹û¡£2¡¢Óë°Í±ÈÍ×»òÆËÃ×ͪµÈÊÊÓ㬿ɴÙʹάÉúËØCµÄÉøÍ¸ÔöÌí¡£3¡¢ÏËÎ¬ËØÁ×ËáÄÆ¿É´ÙʹάÉúËØC´úлΪ²ÝËáÑΡ£4¡¢ºã¾Ã»ò´ó×ÚÓ¦ÓÃάÉúËØCʱ£¬ÄÜ×ÌÈÅË«ÁòÂØ¶ÔÒÒ´¼µÄ×÷Óá£5¡¢Ë®ÑîËáÀàÄÜÔöÌíάÉúËØCµÄÉøÍ¸¡£6¡¢²»ÒËÓë¼îÐÔÒ©Îï(È簱ݱ¼î¡¢Ì¼ËáÇâÄÆ¡¢¹È°±ËáÄÆµÈ)¡¢ºË»ÆËØ¡¢ÈýÂÈÊå¶¡´¼¡¢Í­¡¢ÌúÀë×Ó(΢Á¿)µÄÈÜÒºÅäÎ飬ÒÔÃâÓ°ÏìÁÆÐ§¡£7¡¢ÓëάÉúËØK3ÅäÎ飬ÒòºóÕßÓÐÑõ»¯ÐÔ£¬¿É±¬·¢Ñõ»¯»¹Ô­·´Ó¦£¬Ê¹Á½ÕßÁÆÐ§Ï÷Èõ»òÏûÊÅ¡£8¡¢±¾Æ·Óë°±²è¼î¡¢²©À´Ã¹ËØ¡¢Í·æßßòÁÖ¡¢Í·æßÆ¥ßø¡¢ÍÅ½á´Æ¼¤ËØ¡¢ÓÒÐýÌÇôû¡¢¶àɳÆÕÂØ¡¢ºìÃ¹ËØ¡¢¼×ÑõÃ¹ËØ¡¢ÇàÃ¹ËØG¡¢Î¬ÉúËØK¡¢»ª·¨ÁÖ¡¢ÖØÌ¼ËáÄÆÅäÎé½û¼É¡£

¡¾Ò©Îï¹ýÁ¿¡¿ÖðÈÕ1¡«4g£¬¿ÉÒýÆð¸¹Ðº¡¢Æ¤ÕθËáÔö¶à¡¢Î¸Òº·´Á÷£¬ÓÐʱÉпɼûÃÚÄòϵͳ½áʯ¡¢ÄòÄÚ²ÝËáÑÎÓëÄòËáÑÎÇãÔþÔö¶à¡¢Éî¾²ÂöѪ˨Ðγɡ¢Ñª¹ÜÄÚÈÜѪ»òÄýѪµÈ£¬ÓÐʱ¿Éµ¼Ö°×ϸ°ûÍÌÊÉÄÜÁ¦½µµÍ¡£ÖðÈÕÓÃÁ¿Áè¼Ý5gʱ£¬¿Éµ¼ÖÂÈÜѪ£¬ÖØÕß¿ÉÖÂÃü¡£

¡¾Ò©Àí¶¾Àí¡¿±¾Æ·ÎªÎ¬ÉúËØÀàÒ©¡£Î¬ÉúËØC¼ÓÈë°±»ùËá´úл¡¢Éñ¾­µÝÖʵĺϳɡ¢½ºÔ­ÂѰ׺Í×é֯ϸ°û¼äÖʵĺϳÉ£¬¿É½µµÍëϸѪ¹ÜµÄͨ͸ÐÔ£¬¼ÓËÙѪҺµÄÄý¹Ì£¬´Ì¼¤ÄýѪ¹¦Ð§£¬Ôö½øÌúÔÚ³¦ÄÚÎüÊÕ£¬´ÙʹѪ֬Ͻµ£¬ÔöÌí¶ÔѬȾµÄ¶Ô¿¹Á¦£¬¼ÓÈë½â¶¾¹¦Ð§£¬ÇÒÓп¹×é°·µÄ×÷Óü°×èÖ¹Ö°©ÎïÖÊ(ÑÇÏõ°·)ÌìÉúµÄ×÷Óá£

¡¾Ò©´ú¶¯Á¦Ñ§¡¿ÂѰ×ÍŽáÂʵÍ¡£ÉÙÁ¿Öü²ØÓÚѪ½¬ºÍϸ°û£¬ÒÔÏÙÌå×éÖ¯ÄÚµÄŨ¶ÈΪ×î¸ß¡£¸ÎÄÚ´úл¡£ÉÙÉÙÊýÒÔÕæÏàÎï»ò´úлÎï¾­ÉöÉøÍ¸£¬µ±Ñª½¬Å¨¶È>14¦Ìg/mlʱ£¬ÄòÄÚÇãÔþÁ¿Ôö¶à¡£¿É¾­ÑªÒºÍ¸Îöɨ³ý¡£

¡¾Öü²Ø¡¿Õڹ⣬ÃܱÕ(10¡«30¡æ)ÉúÑÄ¡£

¡¾°ü×°¡¿Î÷ÁÖÆ¿×°¡£10Ö§/ºÐ¡£

¡¾ÓÐÓÃÆÚ¡¿24¸öÔ¡£

¡¾Ö´Ðбê×¼¡¿wS-10001-(HD-0070)-2002-2011

¡¾Åú×¼Îĺš¿¹úÒ©×¼×ÖH20063783

¡¾ÉÏÊÐÔÊÐí³ÖÓÐÈË¡¿Ãû³Æ£ºÉ½Î÷ÐÂÆÏÌÑ8883¹ÙÍøÌ©Ê¢ÖÆÒ©ÓÐÏÞ¹«Ë¾

            ×¢²áµØÖ·£ºÉ½Î÷Ê¡´óͬÊо­¼ÃÊÖÒÕ¿ª·¢ÇøµÚÒ»Ò½Ò©Ô°Çø

¡¾Éú²úÆóÒµ¡¿ÆóÒµÃû³Æ£ºÉ½Î÷ÐÂÆÏÌÑ8883¹ÙÍøÌ©Ê¢ÖÆÒ©ÓÐÏÞ¹«Ë¾

        Éú²úµØÖ·£ºÉ½Î÷Ê¡´óͬÊо­¼ÃÊÖÒÕ¿ª·¢ÇøµÚÒ»Ò½Ò©Ô°Çø

        ÓÊÕþ±àÂ룺037300

        µç»°ºÅÂ룺0352¡ª7290991

        ´«ÕæºÅÂ룺0352¡ª7290990

×¢ÉäÓÃάÉúËØC
¡¾³É¡¡¡¡·Ý¡¿±¾Æ·Ö÷Òª³É·ÝΪάÉúËØC¡£
¡¾¹¦Ð§Ö÷ÖΡ¿·ÀÖλµÑª²¡ºÍÖÖÖÖ¼±ÂýÐÔѬȾÐÔ¼²²¡¼°×Ïñ°µÈ¸¨ÖúÖÎÁÆ£¬´ó¼ÁÁ¿¾²Âö×¢ÉäÓÃÓÚ¿Ëɽ֢£¬ÐÄÔ´ÐÔÐÝ¿ËʱÇÀ¾È¡£±¾Æ·Òà¿ÉÓÃÓÚÂýÐÔÌúÖж¾¡¢ÌØ·¢ÐÔ¸ßÌúѪºìÂѰ×Ѫ֢µÄÖÎÁÆ¡£
¡¾¹æ¡¡¡¡¸ñ¡¿1.0g
¡¾Åú×¼Îĺš¿¹úÒ©×¼×ÖH20063783
²úƷ˵Ã÷

¡¾Ò©Æ·Ãû³Æ¡¿Í¨ÓÃÃû³Æ£º×¢ÉäÓÃάÉúËØC

        Ó¢ÎÄÃû³Æ£ºVitamin C for Injection

        ººÓïÆ´Òô£ºZhusheyong WeishengsuC

¡¾³É·Ý¡¿±¾Æ·Ö÷Òª³É·ÝΪάÉúËØC£¬»¯Ñ§Ãû³ÆÎªL-¿¹»µÑªËá¡£

Æä½á¹¹Ê½Îª£º

×¢ÉäÓÃάÉúËØC

     ·Ö×Óʽ£ºC6H8O6

     ·Ö×ÓÁ¿£º176.13

     ËùÓи¨ÁÏÃû³ÆÎª£º¸Ê¶´¼¡¢Ì¼ËáÇâÄÆ¡¢°ëë×°±Ëá¡¢ÑÇÁòËáÇâÄÆ¡¢ÒÒ¶þ°·ËÄÒÒËá¶þÄÆ¡£

¡¾ÐÔ×´¡¿±¾Æ·Îª°×É«»òÀà°×É«ËÉÉ¢¿é×´Îï»ò·ÛÄ©»ò½á¾§ÐÔ·ÛÄ© £»ÎÞ³ô£¬¾ÃÖÃÉ«½¥±ä΢»Æ¡£

¡¾Ë³Ó¦Ö¢¡¿ÊÊÓÃÓÚ£º·ÀÖλµÑª²¡ºÍÖÖÖÖ¼±ÂýÐÔѬȾÐÔ¼²²¡¼°×Ïñ°µÈ¸¨ÖúÖÎÁÆ£¬´ó¼ÁÁ¿¾²Âö×¢ÉäÓÃÓÚ¿Ëɽ֢£¬ÐÄÔ´ÐÔÐÝ¿ËʱÇÀ¾È¡£±¾Æ·Òà¿ÉÓÃÓÚÂýÐÔÌúÖж¾¡¢ÌØ·¢ÐÔ¸ßÌúѪºìÂѰ×Ѫ֢µÄÖÎÁÆ¡£ÏÂÁÐÇéÐζÔάÉúËØCµÄÐèÒªÁ¿ÔöÌí£º(1)²¡È˽ÓÊÜÂýÐÔѪҺ͸Îö¡¢³¦Î¸µÀ¼²²¡(ºã¾Ã¸¹Ðº¡¢Î¸»ò»Ø³¦ÇгýÊõºó)¡¢½áºË²¡¡¢°©Ö¢¡¢À£Ññ²¡¡¢¼××´ÏÙ¹¦Ð§¿º½ø¡¢·¢ÈÈ¡¢Ñ¬È¾¡¢´´ÉË¡¢ÉÕÉË¡¢ÊÖÊõµÈ¡£(2)ÒòÑÏ¿á¿ØÖÆ»òÑ¡ÔñÒûʳ£¬½ÓÊܳ¦µÀÍâÓªÑøµÄ²¡ÈË£¬ÒòÓªÑø²»Á¼£¬ÌåÖØÖè½µ£¬ÒÔ¼°ÔÚÈÑÉïÆÚºÍ²¸ÈéÆÚ¡£(3)Ó¦ÓðͱÈÍ×Àà¡¢ËÄ»·ËØÀࡢˮÑîËáÀà¡¢»òÒÔάÉúËØC×÷ΪÃÚÄòϵͳËữҩʱ¡£

¡¾¹æ¸ñ¡¿1.0g

¡¾Ó÷¨ÓÃÁ¿¡¿¼¡ÄÚ»ò¾²Âö×¢É䣬³ÉÈËÿ´Î100¡«250mg£¬ÖðÈÕ1¡«3´Î £»Ð¡¶ùÖðÈÕ100¡«300mg£¬·Ö´Î×¢Éä¡£¾ÈÖοËɽ²¡¿ÉÓôó¼ÁÁ¿£¬Ðè×ñÒ½Öö¡£

¡¾²»Á¼·´Ó¦¡¿1¡¢ºã¾ÃÓ¦ÓÃÖðÈÕ2¡«3g¿ÉÒýÆðÍ£Ò©ºó»µÑª²¡¡£2¡¢ºã¾ÃÓ¦Óôó×ÚάÉúËØCż¿ÉÒýÆðÄòËáÑΡ¢°ëë×°±ËáÑλò²ÝËáÑνáʯ¡£3¡¢¿ìËÙ¾²Âö×¢Éä¿ÉÒýÆðÍ·ÔΡ¢ÔÎØÊ¡£

¡¾½û¼É¡¿Éв»Ã÷È·¡£

¡¾×¢ÖØÊÂÏî¡¿1¡¢Î¬ÉúËØC¶ÔÏÂÁÐÇéÐεÄ×÷ÓÃδ±»Ö¤Êµ£ºÔ¤·À»òÖÎÁư©Ö¢¡¢ÑÀö¸Ñס¢»¯Å§¡¢³öѪ¡¢ÑªÄò¡¢ÊÓÍøÄ¤³öѪ¡¢ÒÖÓôÖ¢¡¢È£³Ý¡¢ÑªÐé¡¢ðî´¯¡¢²»ÓýÖ¢¡¢ÐàÂõ¡¢¶¯ÂöÓ²»¯¡¢À£Ññ²¡¡¢½áºË¡¢Á¡¼²¡¢½ºÔ­ÐÔ¼²²¡¡¢¹ÇÕÛ¡¢Æ¤·ôÀ£Ññ¡¢¿Ý²ÝÈÈ¡¢Ò©ÎïÖж¾¡¢Ñª¹Ü˨Èû¡¢ÉË·çµÈ¡£2¡¢¶ÔÕï¶ÏµÄ×ÌÈÅ¡£´ó×Ú·þÓý«Ó°ÏìÒÔÏÂÕï¶ÏÐÔÊÔÑéµÄЧ¹û£º(1)´ó±ãÒþѪ¿ÉÖ¼ÙÑôÐÔ¡£(2)ÄÜ×ÌÈÅѪÇåÈéËáÍÑÇâøºÍѪÇå°±»ù×ªÒÆÃ¸Å¨¶ÈµÄ×Ô¶¯ÆÊÎöЧ¹û¡£(3)ÄòÌÇ(ÁòËáÍ­·¨)¡¢ÆÏÌÑÌÇ(Ñõ»¯Ã¸·¨)¾ù¿ÉÖ¼ÙÑôÐÔ¡£(4)ÄòÖвÝËáÑΡ¢ÄòËáÑκͰëë×°±ËáµÈŨ¶ÈÔö¸ß¡£(5)ѪÇ嵨ºìËØÅ¨¶ÈϽµ¡£(6)ÄòpHϽµ¡£3¡¢ÏÂÁÐÇéÐÎÓ¦É÷Óãº(1)°ëë×°±ËáÄòÖ¢¡£(2)Í´·ç¡£(3)¸ß²ÝËáÑÎÄòÖ¢¡£(4)²ÝËáÑγÁ»ýÖ¢¡£(5)ÄòËáÑÎÐÔÉö½áʯ¡£(6)ÌÇÄò²¡(ÒòάÉúËØC¿ÉÄÜ×ÌÈÅѪÌǶ¨Á¿)¡£(7)ÆÏÌÑÌÇ-6-Á×ËáÍÑÇâøȱ·¦Ö¢¡£(8)Ѫɫ²¡¡£(9)ÌúÁ£Ó×ϸ°ûÐÔѪÐé»òµØÖк£ÑªÐé¡£(10)Á­Ðκìϸ°ûѪÐé¡£4¡¢ºã¾Ã´ó×Ú·þÓÃͻȻͣҩ£¬ÓпÉÄÜ·ºÆð»µÑª²¡Ö¢×´£¬¹ÊÒËÖð½¥¼õÁ¿Í£Ò©¡£

¡¾Ôи¾¼°²¸ÈéÆÚ¸¾Å®ÓÃÒ©¡¿±¾Æ·¿Éͨ¹ýÌ¥ÅÌ£¬ÉøÍ¸ÈëÈéÖ­¡£Ôи¾´ó¼ÁÁ¿·þÓÃʱ£¬»¹¿É±¬·¢Ó¤¶ù»µÑª²¡¡£

¡¾¶ùͯÓÃÒ©¡¿ÍƼöÉÅʳÖðÈÕÉãÈëÁ¿(RDA£¬1980)£º4¡«6ËêС¶ù45mg£¬7ËêÒÔÉϰ´³ÉÈ˼Æ60mg£¬Î´¾­Ö¤ÊµÓÐÓÃʱ£¬²»ÒËÓ¦ÓôóÓÚ10±¶ÉÏÊö¼ÁÁ¿¡£

¡¾ÍíÄêÓÃÒ©¡¿Éв»Ã÷È·¡£

¡¾Ò©ÎïÏ໥×÷Óá¿1¡¢´ó¼ÁÁ¿Î¬ÉúËØC¿É×ÌÈÅ¿¹ÄýÒ©µÄ¿¹ÄýЧ¹û¡£2¡¢Óë°Í±ÈÍ×»òÆËÃ×ͪµÈÊÊÓ㬿ɴÙʹάÉúËØCµÄÉøÍ¸ÔöÌí¡£3¡¢ÏËÎ¬ËØÁ×ËáÄÆ¿É´ÙʹάÉúËØC´úлΪ²ÝËáÑΡ£4¡¢ºã¾Ã»ò´ó×ÚÓ¦ÓÃάÉúËØCʱ£¬ÄÜ×ÌÈÅË«ÁòÂØ¶ÔÒÒ´¼µÄ×÷Óá£5¡¢Ë®ÑîËáÀàÄÜÔöÌíάÉúËØCµÄÉøÍ¸¡£6¡¢²»ÒËÓë¼îÐÔÒ©Îï(È簱ݱ¼î¡¢Ì¼ËáÇâÄÆ¡¢¹È°±ËáÄÆµÈ)¡¢ºË»ÆËØ¡¢ÈýÂÈÊå¶¡´¼¡¢Í­¡¢ÌúÀë×Ó(΢Á¿)µÄÈÜÒºÅäÎ飬ÒÔÃâÓ°ÏìÁÆÐ§¡£7¡¢ÓëάÉúËØK3ÅäÎ飬ÒòºóÕßÓÐÑõ»¯ÐÔ£¬¿É±¬·¢Ñõ»¯»¹Ô­·´Ó¦£¬Ê¹Á½ÕßÁÆÐ§Ï÷Èõ»òÏûÊÅ¡£8¡¢±¾Æ·Óë°±²è¼î¡¢²©À´Ã¹ËØ¡¢Í·æßßòÁÖ¡¢Í·æßÆ¥ßø¡¢ÍÅ½á´Æ¼¤ËØ¡¢ÓÒÐýÌÇôû¡¢¶àɳÆÕÂØ¡¢ºìÃ¹ËØ¡¢¼×ÑõÃ¹ËØ¡¢ÇàÃ¹ËØG¡¢Î¬ÉúËØK¡¢»ª·¨ÁÖ¡¢ÖØÌ¼ËáÄÆÅäÎé½û¼É¡£

¡¾Ò©Îï¹ýÁ¿¡¿ÖðÈÕ1¡«4g£¬¿ÉÒýÆð¸¹Ðº¡¢Æ¤ÕθËáÔö¶à¡¢Î¸Òº·´Á÷£¬ÓÐʱÉпɼûÃÚÄòϵͳ½áʯ¡¢ÄòÄÚ²ÝËáÑÎÓëÄòËáÑÎÇãÔþÔö¶à¡¢Éî¾²ÂöѪ˨Ðγɡ¢Ñª¹ÜÄÚÈÜѪ»òÄýѪµÈ£¬ÓÐʱ¿Éµ¼Ö°×ϸ°ûÍÌÊÉÄÜÁ¦½µµÍ¡£ÖðÈÕÓÃÁ¿Áè¼Ý5gʱ£¬¿Éµ¼ÖÂÈÜѪ£¬ÖØÕß¿ÉÖÂÃü¡£

¡¾Ò©Àí¶¾Àí¡¿±¾Æ·ÎªÎ¬ÉúËØÀàÒ©¡£Î¬ÉúËØC¼ÓÈë°±»ùËá´úл¡¢Éñ¾­µÝÖʵĺϳɡ¢½ºÔ­ÂѰ׺Í×é֯ϸ°û¼äÖʵĺϳÉ£¬¿É½µµÍëϸѪ¹ÜµÄͨ͸ÐÔ£¬¼ÓËÙѪҺµÄÄý¹Ì£¬´Ì¼¤ÄýѪ¹¦Ð§£¬Ôö½øÌúÔÚ³¦ÄÚÎüÊÕ£¬´ÙʹѪ֬Ͻµ£¬ÔöÌí¶ÔѬȾµÄ¶Ô¿¹Á¦£¬¼ÓÈë½â¶¾¹¦Ð§£¬ÇÒÓп¹×é°·µÄ×÷Óü°×èÖ¹Ö°©ÎïÖÊ(ÑÇÏõ°·)ÌìÉúµÄ×÷Óá£

¡¾Ò©´ú¶¯Á¦Ñ§¡¿ÂѰ×ÍŽáÂʵÍ¡£ÉÙÁ¿Öü²ØÓÚѪ½¬ºÍϸ°û£¬ÒÔÏÙÌå×éÖ¯ÄÚµÄŨ¶ÈΪ×î¸ß¡£¸ÎÄÚ´úл¡£ÉÙÉÙÊýÒÔÕæÏàÎï»ò´úлÎï¾­ÉöÉøÍ¸£¬µ±Ñª½¬Å¨¶È>14¦Ìg/mlʱ£¬ÄòÄÚÇãÔþÁ¿Ôö¶à¡£¿É¾­ÑªÒºÍ¸Îöɨ³ý¡£

¡¾Öü²Ø¡¿Õڹ⣬ÃܱÕ(10¡«30¡æ)ÉúÑÄ¡£

¡¾°ü×°¡¿Î÷ÁÖÆ¿×°¡£10Ö§/ºÐ¡£

¡¾ÓÐÓÃÆÚ¡¿24¸öÔ¡£

¡¾Ö´Ðбê×¼¡¿wS-10001-(HD-0070)-2002-2011

¡¾Åú×¼Îĺš¿¹úÒ©×¼×ÖH20063783

¡¾ÉÏÊÐÔÊÐí³ÖÓÐÈË¡¿Ãû³Æ£ºÉ½Î÷ÐÂÆÏÌÑ8883¹ÙÍøÌ©Ê¢ÖÆÒ©ÓÐÏÞ¹«Ë¾

            ×¢²áµØÖ·£ºÉ½Î÷Ê¡´óͬÊо­¼ÃÊÖÒÕ¿ª·¢ÇøµÚÒ»Ò½Ò©Ô°Çø

¡¾Éú²úÆóÒµ¡¿ÆóÒµÃû³Æ£ºÉ½Î÷ÐÂÆÏÌÑ8883¹ÙÍøÌ©Ê¢ÖÆÒ©ÓÐÏÞ¹«Ë¾

        Éú²úµØÖ·£ºÉ½Î÷Ê¡´óͬÊо­¼ÃÊÖÒÕ¿ª·¢ÇøµÚÒ»Ò½Ò©Ô°Çø

        ÓÊÕþ±àÂ룺037300

        µç»°ºÅÂ룺0352¡ª7290991

        ´«ÕæºÅÂ룺0352¡ª7290990